Quante volte hai sentito dire che “l’Italia è un paese per vecchi?” La realtà è che in Italia il tasso di natalità in relazione a quello di mortalità è pari a 0 o quasi, questo significa che per ogni bambino che nasce una persona anziana muore. In realtà, il paese per ringiovanirsi ha bisogno che nascano più bambini. Le istituzioni, consapevoli di questa sfida demografica, hanno introdotto diverse misure di sostegno economico. Tra queste, il Bonus Bebè, conosciuto anche come assegno di natalità, rappresenta una risorsa fondamentale per le famiglie italiane.

Le sfide economiche della genitorialità moderna
Durante il periodo di gravidanza le donne molte volte devono affrontare anche delle spese importanti. Basti pensare ad esempio ai costi che derivano da un’ecografia in uno studio privato, visite specialistiche e così via. Alla nascita del bambino il genitore dovrà affrontare delle spese ricorrenti importanti. Sicuramente le prime spese riguardano il sostentamento del proprio figlio, quindi il genitore deve provvedere ad acquistare il cibo necessario per farlo crescere al meglio. Questa situazione a volte desta molta preoccupazione nei genitori, soprattutto in coloro che non hanno un lavoro stabile perché si ha paura di non esser in grado di affrontare il lato economico.
Il Bonus Bebè: una panoramica dell'assegno di natalità
L’assegno di natalità è conosciuto anche come Bonus Bebè ed è un assegno mensile che viene dato alle famiglie che hanno messo alla luce un figlio o lo hanno adottato o hanno proceduto con un affido preadottivo. Questo assegno è annuale e viene concesso ogni mese fino al compimento del primo anno di età del bambino. Tutte le famiglie che hanno un figlio con meno di un anno di età possono ricevere questo bonus. L’importo tuttavia cambierà in relazione all’ISEE.
Questo bonus bebè può essere richiesto, così come il bonus mamma domani, dal genitore che ha cittadinanza italiana ma anche da chi ha cittadinanza comunitaria o extracomunitaria ed è residente in Italia. Il possesso dei requisiti di relazione di genitorialità, convivenza con il minore ecc… dovranno essere auto-dichiarati nella domanda che si può compilare autonomamente online sul sito dell’Inps. Se invece il genitore è minorenne o incapace d’agire la domanda deve essere presentata dal suo rappresentante legale. La domanda deve essere effettuata entro 90 giorni dalla nascita oppure dal momento in cui è entrato in famiglia il minore adottato.
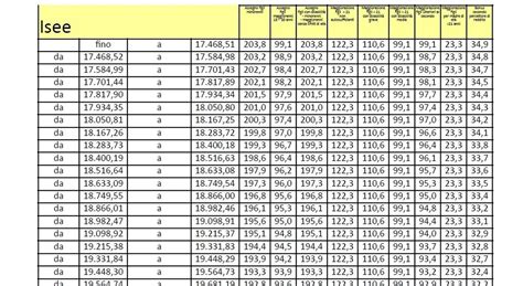
Fasce ISEE e calcolo del beneficio
Prima di vedere come richiedere il bonus bebè è importante capire anche quanto spetta al genitore. Il corrispettivo cambia in base alla fascia ISEE. L’importo più alto lo riceveranno i genitori che hanno un ISEE più basso. Se l’ISEE infatti non è superiore a 7.000€ annui, il bonus bebè avrà un valore di 1.920€ annui o se il figlio è successivo al primo c’è una maggiorazione del 20%, quindi 2.304€.
La seconda fascia da prendere in considerazione riguarda coloro che hanno un ISEE superiore ai 7.000€ ma inferiore ai 40.000€. In questo caso l’assegno annuale è pari a 1.440€ per il primo figlio, mentre se il figlio è successivo al primo 1.728€. Infine l’ultima fascia che si prende in considerazione è se l’ISEE è superiore a 40.000€. La domanda si può presentare all’INPS solo una volta per ogni figlio. Nel caso di parto gemellare, come detto in precedenza, si deve presentare la domanda per ogni figlio.

Modalità di erogazione e requisiti tecnici
Adesso che abbiamo visto come richiedere il bonus bebè non ci resta che vedere quali sono le modalità di pagamento attraverso cui si può ricevere l’assegno da parte dell’INPS. In tutti i casi è necessario fornire un IBAN all’INPS. Il metodo di pagamento deve essere inoltre intestato al richiedente. Anche nel caso in cui ci siano delle variazioni successive nella richiesta, puoi rivolgerti ai contatti sopra indicati.
Il Bonus Nuovi Nati: novità e procedure recenti
Il panorama dei sussidi si è arricchito. Fino al 22 settembre 2025 è possibile chiedere il bonus nuovi nati. Possono presentare l’istanza le famiglie con eventi (nascita, adozione, o ingresso in famiglia) avvenuti dal 1° gennaio al 24 maggio 2025, che non hanno ancora presentato domanda. Il bonus consiste nell’erogazione di un importo una tantum pari a 1.000 euro.
Come fare la domanda per il Bonus Nuovi Nati INPS | Guida completa passo dopo passo
Con il messaggio n. 2345 del 24 luglio 2025 l’INPS comunica che il termine per la presentazione delle domande di “Bonus nuovi nati” è ampliato da 60 a 120 giorni dalla data dell’evento (nascita o ingresso in famiglia del minore). Il bonus in argomento è previsto dalla legge n. 207/2024. Per accedere al bonus il figlio deve essere nato o adottato dal 1° gennaio 2025. Possono fare domanda:
- Titolari di permesso unico di lavoro autorizzati a svolgere attività lavorativa per un periodo superiore a sei mesi.
- Titolari di permesso di soggiorno per motivi di ricerca autorizzati a soggiornare in Italia per un periodo superiore a sei mesi, residenti in Italia.
Il bonus può essere richiesto, in alternativa tra loro, da uno dei genitori. All’atto della domanda il richiedente deve dichiarare sotto la propria responsabilità ai sensi del D.P.R. 28 dicembre 2000, n. 445, il possesso dei requisiti per accedere alla misura. Il bonus nuovi nati non concorre alla determinazione del reddito complessivo ai fini dell’art. 8 del Testo unico delle imposte sui redditi.
Requisiti specifici per il Bonus Nuovi Nati
Dal 17 aprile 2025 è possibile fare domanda per il Bonus nuovi nati, il contributo una tantum di 1.000 euro destinato ai nuclei familiari con figli nati, adottati o in affido preadottivo dal 1° gennaio 2025. Chi può fare domanda:
- Isee minorenni: non superiore a 40.000 euro.
- Cittadinanza: possono richiedere il bonus i cittadini italiani, quelli di Stati membri dell'UE, nonché cittadini extracomunitari con permesso di soggiorno di lungo periodo e altri specifici permessi.
- Residenza: il genitore richiedente deve essere residente in Italia al momento della domanda.
La domanda dovrà essere presentata online, tramite il servizio dedicato sul sito INPS, o rivolgendosi al patronato. Per nascite e adozioni verificatesi fino al 17 aprile le domande dovranno essere inoltrate entro 60 giorni.
Il ruolo del CAF CISL Liguria nel supporto fiscale
La stagione fiscale 2026 è ufficialmente aperta! Se sei un lavoratore dipendente o un pensionato, è il momento di preparare la tua dichiarazione dei redditi con il CAF CISL Liguria. Perché scegliere il CAF CISL Liguria? Affidarsi a noi significa avere la certezza di una compilazione corretta e professionale. Con il 730 puoi recuperare il 19% di molte spese sostenute nel 2025. Ricorda che dal 2020, per poter beneficiare delle detrazioni al 19%, i pagamenti devono essere effettuati con sistemi tracciabili.

In questo articolo abbiamo visto come richiedere il bonus bebè, quali sono i requisiti per ottenerlo, le novità sul Bonus Nuovi Nati e quale metodo di pagamento utilizzare. Rivolgersi agli uffici locali, come quelli presenti sul territorio di La Spezia, garantisce che ogni procedura venga svolta correttamente, massimizzando le possibilità di ottenere il sostegno spettante e assicurando una corretta gestione della propria situazione fiscale. Prenota online il tuo appuntamento o chiamaci subito per ricevere assistenza dedicata da parte dei professionisti del CAF.